HER ALANDA HUKUKSAL MÜCADELEYE DEVAM 28 Aralık 2025, 10:00
Ulaşım-İş Sendikası bir kez daha sözde etkili, sözde yetkili sendikalara fark atmıştır.
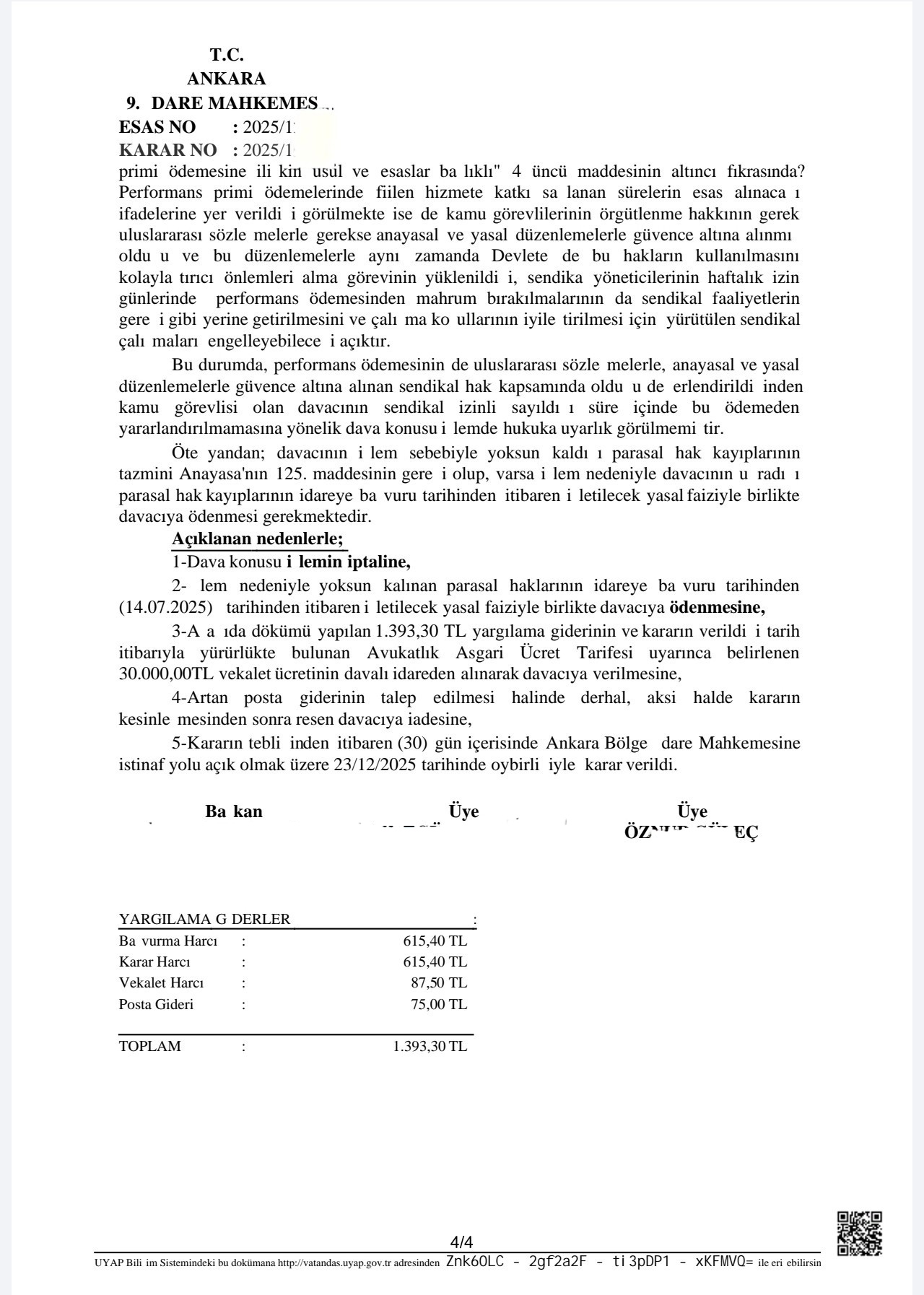
DHMİ Personeli MYK üyesi Murat Kartal adına açılan, sendikal izin sırasında performans ödemesinin kesilmesine yönelik hukuksuz işlem mahkeme kararıyla iptal edilmiştir.
Baskılara, tehditlere, hak gasplarına boyun eğmedik, eğmeyeceğiz.
Ulaşım-İş varsa mücadele vardır, Ulaşım-İş varsa hukuk vardır!
Yaşasın örgütlü mücadele, yaşasın Ulaşım-İş!
DIĞER HABERLER
-
6 Şubat 2023 Türkiye’yi Sarsan Büyük Felaket Sonrası Yapılan Yatırımlar ve Alınan Önlemler Yeterlimi
06 Şubat 2026, 11:27 -
MOBBİNG İLE MÜCADELEDE SENDİKANIN ROLÜ
04 Şubat 2026, 11:43 -
ULAŞIM-İŞ’ten Hukuk Mücadelesinde Önemli Kazanım.
03 Şubat 2026, 16:00 -
ANKARA ŞUBE KURUCULAR KURULU GENEL MERKEZİMİZDE BİR ARAYA GELMİŞTİR
24 Ocak 2026, 14:00 -
DENETİMSİZLİK YOLSUZLUĞU, YOLSUZLUK ADALETSİZLİĞİ BESLER
23 Ocak 2026, 15:00 -
ULAŞIM-İŞ Sendikası Genel Merkez Yönetimi CHP İşçi, Memur Sendikaları ve Emek Bürolarından Sorumlu Genel Başkan Yardımcısı Sayın Ulaş KARASU ile bir araya geldi.
23 Ocak 2026, 14:00 -
BAYRAĞIMIZA UZANAN ELLER KARŞISINDA SUSMAYACAĞIZ
20 Ocak 2026, 23:23 -
DHMİ MAAŞ PROMOSYONU HAYAL KIRIKLIĞI YARATTI:ÇALIŞANIN EMEĞİ BU KADAR UCUZMU?
20 Ocak 2026, 23:19 -
DHMİ PERFORMANS PRİMİ HAKKINDA AÇMIŞ OLDUĞUMUZ DAVANIN DAVALI İDARE TARAFINDAN YAPILAN SAVUNMASI
19 Ocak 2026, 03:13 -
YENİ YIL MESAJI
31 Aralık 2025, 14:11





